Chỉ số giá nhà ở là một phần quan trọng của chỉ số giá bất động sản. Xây dựng chỉ số giá nhà góp phần thúc đẩy thị trường nhà ở minh bạch hơn và phát triển bền vững hơn.

ảnh minh họa
Nghiên cứu này sử dụng mô hình giá thụ hưởng nhằm ước lượng chỉ số giá nhà ở bằng 2 phương pháp gồm: Hồi quy biến giả theo thời gian và phương pháp gán giá trên cơ sở bộ dữ liệu phân tích thu thập trong 2 kỳ có 1.078 quan sát, trong đó có 548 mẫu khảo sát năm 2015 và 530 mẫu năm 2016. Kết quả nghiên cứu này giúp các cơ quan quản lý nhà nước, doanh nghiệp trong việc hoạch định chính sách, dự báo xu hướng của thị trường nhà ở, ước lượng giá trị bất động sản.
Đặt vấn đề
Chỉ số giá bất động sản (BĐS) là một trong những chỉ tiêu quan trọng của quốc gia, dùng để phân tích sự biến động về giá của thị trường BĐS tại địa phương và cả nước, là cơ sở quan trọng trong việc ban hành các chính sách phát triển ổn định thị trường BĐS, góp phần giải quyết các vấn đề an sinh – xã hội tại địa phương. Là đầu tàu Kinh tế cả nước, TP. Hồ Chí Minh có số lượng nhà ở tăng nhanh trong các năm qua, nhưng việc xác định chỉ số giá nhà ở vẫn chưa được công bố. Do vậy, việc nghiên cứu xây dựng chỉ số giá nhà ở tại TP. Hồ Chí Minh sẽ góp phần hoàn thiện cơ sở lý luận và phương pháp ước lượng, nhằm tiến tới công bố chỉ số giá BĐS nói chung, chỉ số giá nhà ở nói riêng trên toàn quốc.
Cơ sở lý luận
Chỉ số giá BĐS là chỉ số thể hiện sự biến thiên về giá của một dạng BĐS cụ thể trong kỳ so sánh với mức giá của BĐS dạng đó ở thời kỳ gốc. Giá được tính cho chỉ số giá BĐS là giá giao dịch và kỳ tính có thể là tháng, quý hay năm tùy theo khoảng thời gian cần thiết cho việc so sánh về giá. Thực tế có hai cách tính chỉ số giá cho từng dạng BĐS hay tính chỉ số giá tổng hợp cho một nhóm BĐS phổ biến (bao gồm nhiều dạng BĐS). Về cơ bản, nếu tính chỉ số giá BĐS tổng hợp thì cũng dựa trên cách tính trên từng dạng riêng lẻ sau đó tổng hợp theo trọng số được xác định. Trong nghiên cứu này chỉ tính chỉ số giá nhà ở tại TP. Hồ Chí Minh.
Khung lý thuyết cho nghiên cứu này được tổng hợp từ lý thuyết Cung, lý thuyết Giá thụ hưởng và lý thuyết Vị thế - Chất lượng. Lý thuyết Giá thụ hưởng được vận dụng phổ biến trong các nghiên cứu của Goodman (1998), Triplex (2004), Brent R.Moulton (2001), Kunovac (2008), Goetzman (2002), Pavese (2007), Nguyễn Quỳnh Hoa và cộng sự (2013, 2015), Nguyễn Quốc Nghi và cộng sự (2012)… Do vậy, tác giả sử dụng lý thuyết này làm nền trong việc phân tích và xây dựng mô hình nghiên cứu.
Trong nghiên cứu này, tác giả sử dụng tiếp cận bằng phương pháp hồi quy đa biến, dựa trên mô hình giá thụ hưởng bao gồm các đặc tính của nhà ở như diện tích đất, diện tích sàn xây dựng, tiện ích xung quanh, khoảng cách đến trung tâm, tình trạng pháp lý, an ninh, môi trường… Cách tiếp cận này được lựa chọn bởi trên thực tế trong điều kiện các thông tin về thị trường BĐS nói chung, nhà ở nói riêng ở nước ta hiện nay vừa thiếu, vừa kém minh bạch, các thông tin về các giao dịch lặp lại hầu như không có, giá giao dịch thực và giá ghi trên hợp đồng công chứng trong nhiều trường hợp có sự khác biệt lớn…
Khung phân tích
Từ cơ sở trên, tác giả ước lượng chỉ số giá nhà ở bằng phương pháp gán giá thông qua các giá trị điển hình của nhà ở có được từ kết quả phỏng vấn các chuyên gia và kết quả thống kê mô tả bộ dữ liệu khảo sát. Phương pháp thứ hai ước lượng chỉ số giá nhà ở là: Hồi quy biến giả theo thời gian (thể hiện qua Hình 1).
Phương pháp nghiên cứu
Để thực hiện mục tiêu nghiên cứu, tác giả đã sử dụng các phương pháp phân tích sau: Phương pháp phân tích tổng hợp – Nhằm tổng hợp các lý thuyết và các nghiên cứu có liên quan được kế thừa trong việc xây dựng khung lý thuyết và khung phân tích; Phương pháp thống kê mô tả nhằm mô tả bộ dữ liệu khảo sát phục vụ phân tích. Qua thống kê mô tả có thể hiểu được bản chất của bộ dữ liệu và từ thống kê mô tả cũng định hướng cho việc ước lượng các giá trị điển hình cho nhà ở.
Bộ dữ liệu phân tích bao gồm số liệu sơ cấp và thứ cấp. Số liệu thứ cấp cập nhật từ Tổng cục thống kê, Bộ Xây dựng và Sở Xây dựng TP. Hồ Chí Minh...Số liệu sơ cấp bao gồm: Khảo sát ý kiến chuyên gia trong lĩnh vực thẩm định giá, đầu tư, phân tích thị trường bất động sản.
Phương pháp khảo sát ý kiến chuyên gia được thực hiện với 69 chuyên gia có nhiều năm Kinh nghiệm trong lĩnh vực giá. Phương pháp này được sử dụng nhằm củng cố cho việc xây dựng các biến trong mô hình nghiên cứu, đồng thời làm cơ sở cho việc chọn các giá trị điển hình cho nhà ở cần ước lượng chỉ số giá như: Diện tích đất, diện tích sàn xây dựng, chiều rộng lô đất, hướng nhà, tiện ích nội khu...
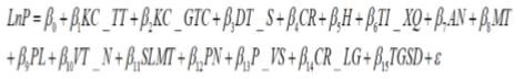
Phương pháp phân tích định lượng được sử dụng trong nghiên cứu nhằm ước lượng mô hình ước lượng giá giao dịch của nhà ở dựa trên mẫu số liệu khảo sát. Mô hình ước lượng có dạng ln – lin và phương pháp ước lượng là: Phương pháp bình phương nhỏ nhất OLS – Ordinary Least Squares. Phần mềm hỗ trợ phân tích hồi quy và thống kê mô tả: Excel và SPSS. Mô hình nghiên cứu xây dựng chỉ số giá nhà ở theo phương pháp gán giá có 15 biến độc lập và biến phụ thuộc có dạng:
Mô hình hồi quy dành cho việc ước lượng chỉ số giá nhà ở theo phương pháp biến giả theo thời gian cũng giống như mô hình trên nhưng bổ sung thêm biến giả thời gian: TG (Time Dummy Variable) ước lượng trên bộ dữ liệu gộp cả 2 năm 2015 và 2016. Biến TG nhận giá trị 0 dành cho năm 2015 và giá trị 1 dành cho năm 2016.
Kết quả nghiên cứu
Ước lượng chỉ số giá nhà ở bằng phương pháp gán giá:
Kết quả phân tích hồi quy sau khi thực hiện các kiểm định, phương trình hồi quy dành cho bộ dữ liệu nhà ở năm 2015 là:
LN(P) = 7,826 - 0,053KC_TT + 0,003DT_S + 0,076TI_XQ + 0,087MT + 0,164VT_N + 0,013CR_LG
Với mức độ giải thích biến động giá là 60,2% và mô hình là phù hợp. Do đó, kết quả trên sẽ được sử dụng để ước lượng giá cho nhà ở năm 2015.
Kết quả phân tích hồi quy sau các kiểm định trong năm 2016 là:
LN(P) = 7,944 - 0,045KC_TT - 0,0002KC_GTC + 0,002DT_S + 0,06TI_XQ – 0,097AN + 0,183VT_N + 0,036P_VS + 0,014CR_LG
Có 8 biến trong mô hình giải thích biến động giá là 58,8% và mô hình là phù hợp. Do đó kết quả trên sẽ được sử dụng để ước lượng giá cho nhà ở năm 2016.
Thống kê các kết quả khảo sát chuyên gia và kết quả điều tra khảo sát nhà ở tại TP. Hồ Chí Minh được giao dịch trong 2 năm 2015 và 2016 về đặc điểm nhà ở giao dịch phổ biến được tổng hợp qua Bảng 2.
Từ các kết quả khảo sát tác giả chọn các giá trị điển hình dựa trên giá trị phổ biến cho từng yếu tố tác động lên giá nhà (cột kết luận). Các giá trị này sẽ được sử dụng để ước lượng giá nhà điển hình cho các năm 2015 và 2016.
Bước tiếp theo là ước lượng giá nhà ở điển hình từ 2 phương trình kết quả hồi quy năm 2015 và 2016. Bằng cách lấy phương trình ước lượng đồng nhất các yếu tố tác động lên giá có trong mô hình sau các kiểm định nhân với đơn giá điển hình của các yếu tố này từ Bảng 2. Các yếu tố đồng nhất của 2 mô hình trong kết quả nghiên cứu này là: Khoảng cách trung tâm; Diện tích sàn xây dựng; Tiện ích xung quanh; Vị trí nhà mặt tiền hay hẻm; Chiều rộng lộ giới.
Ước lượng giá giao dịch điển hình cho nhà ở năm 2015: Thế các giá trị điển hình vào mô hình, có được:
LN(DG) = 7,871 Hay DG2015 = 2.620 (tỷ đồng/căn)
Ước lượng giá giao dịch điển hình cho nhà ở năm 2016: Thế các giá trị điển hình vào mô hình, có được LN(DG) = 7,897 Hay DG2016 = 2,681 (tỷ đồng/căn).
Chỉ số giá nhà ở điển hình năm 2016 so với năm 2015 là:
CSG = hay 2,33%/năm
Ước lượng chỉ số giá nhà ở bằng phương pháp biến giả theo thời gian:
Sau khi ước lượng, kiểm định và khắc phục các khuyết tật của mô hình, kết quả ước lượng là:
LN(P) = 7,696 - 0,048KC_TT + 0,002DT_S + 0,062TI_XQ + 0,096MT+ 0,175VT_N + 0,027P_VS + 0,004TGSD + 0,013CR_LG + 0,063TG
Các biến độc lập giải thích được 58,3% sự thay đổi của giá nhà với mức ý nghĩa 5%. Với hệ số ước lượng của biến TG là 0,063 tại mô hình cho thấy so với năm 2015 giá nhà ở năm 2016 tăng 6,5% (e0,063 = 1,065).
Đối với phân khúc nhà ở có giá giao dịch dưới 2 tỷ đồng/căn. Kết quả ước lượng như sau:
LN(P) = 7,17 + 0,067 MT - 0,099 SL_MT + 0,052P_VS + 0,007CR_LG + 0,081TG.
Các biến độc lập giải thích được 29,4% sự thay đổi của giá nhà ở với mức ý nghĩa 5%. Với hệ số ước lượng của biến TG là 0,081 tại mô hình cho thấy, so với năm 2015, giá nhà ở của nhóm có giá dưới 2 tỷ đồng/căn năm 2016 tăng 8,4% (e0,081 = 1,084).
Kết quả ước lượng chỉ số giá nhà ở tại TP. Hồ Chí Minh dành cho phân khúc giá giao dịch từ 2 tỷ đồng/căn có kết quả sau:
LN(P) = 7,962 -0,42KC_TT+0,002DT_S + 0,173VT_N+0,006TGSD+ 011CR_LG + 0,037TG.
Với hệ số ước lượng của biến TG là 0,037 tại mô hình cho thấy, so với năm 2015 giá nhà ở của nhóm có giá từ 2 tỷ trở lên tăng 3,8% (e0,037 = 1,038).
Kết luận
Mô hình ước lượng cho giá nhà ở bao gồm 15 biến độc lập, biến phụ thuộc là giá nhà ở, kết quả phân tích hồi quy lần lượt trong 2 năm là: Năm 2015 có 6 biến có ý nghĩa thống kê giải thích được 60,2% và tương tự kết quả phân tích hồi quy trong năm 2016 có 8 biến có ý nghĩa thống kê giải thích 58,8% sự thay đổi của giá giao dịch, chỉ số giá ước tính theo phương pháp gán giá là 2,33% năm.
Khi ước lượng mô hình bằng phương pháp hồi quy biến giả theo thời gian, nhóm nghiên cứu ghép 2 bộ dữ liệu 2015 và 2016 để có 1078 quan sát với biến giả thời gian giữa hai năm. Kết quả phân tích có 9 biến có ý nghĩa thống kê giải thích được 58,3% sự thay đổi của giá giao dịch nhà ở, chỉ số giá đất ước tính là: 6,5% năm.
Khi tách nhỏ bộ dữ liệu nhà ở các năm 2015 và 2016 ra làm 2 nhóm: Nhóm có mức giá nhà giao dịch dưới 2 tỷ đồng và trên 2 tỷ đồng, kết quả phân tích cho thấy, mô hình có mức giá giao dịch dưới 2 tỷ đồng có 5 biến có ý nghĩa thống kê, giải thích được 29,2% sự thay đổi của biến giá nhà, có chỉ số giá là 8,4 % năm; Mô hình có mức giá giao dịch trên 2 tỷ đồng có 6 biến có ý nghĩa thống kê giải thích 50% sự thay đổi của mô hình, chỉ số giá ước tính cho phân khúc này là 3,8% năm.
Nhận định về sự chênh lệch giá trị của chỉ số giá nhà ở tại TP. Hồ Chí Minh khi ước lượng bằng 2 phương pháp gán giá và hồi quy biến theo thời gian, theo quan điểm của tác giả phương pháp nào cũng có ưu và nhược điểm riêng. Tuy nhiên, xét về mặt thực tiễn trong bối cảnh thông tin thị trường nhà ở tại nước ta kém minh bạch, số liệu thu thập khó khăn và không đủ cơ sở để minh chứng cho sự tin cậy, nên phương pháp hồi quy biến giả theo thời gian có nhiều ưu điểm vượt trội. Phương pháp này ước lượng dựa trên bộ dữ liệu tương đối lớn, xác suất có kết quả ước lượng chính xác hơn, đồng thời giúp chia nhỏ ra nhiều phân khúc giá để ước lượng cho từng phân khúc giá nhà.